本文来自微信公众号: 一个生物狗的科普小园 ,作者:Y博的科普园
即便是在有很多神药的中国医药发展史上,绿谷制药的全球阿尔兹海默首药,甘露特钠,也属于最神奇的一个,而2025年,又成了这个神药最神奇的一年。
全球新的神药971
如果甘露特钠这个名字你不熟,那么它的俗名971(九期一),或许能唤醒你的记忆。该俗名的来源是该药在绿谷的公司研发代号,GV971。
971的出生不同凡响:2019年11月2日,中国国家药监局有条件批准其用于治疗轻度至中度阿尔茨海默症。这不仅是中国首个阿尔兹海默症的创新药,据当时的新华社报道,还是全球17年来首个阿尔兹海默症药物。
全球新,名不虚传。
不过,光是新,那是小瞧971了,它是神,而且是全方位的神。
从药物来源看,它是从一种海藻,鹅掌菜里提取的寡糖。偏偏这种海藻里的糖类分子,被包括耿美玉在内的971主要研发人员们发现具有多种打击阿尔兹海默的机制:分解阿尔兹海默标志性的β淀粉样蛋白,消除神经系统的炎症,直接与神经细胞内的蛋白质结合,以及通过改变肠道菌群影响大脑。
这些机理应该都是真的,因为这每一个机理,都有上海药物研究所的研究人员发表的论文一一对应,作者中不仅有对971跨度极大的各种不同机理都非常精通的耿美玉老师,还有上药所的院士所长。
不仅没有人比他们更懂971,大概也没有人比他们更懂中国制药。
宝剑赠英雄,神药配神司,研究团队为971找了一个极好的归宿:绿谷——2000年,上药所与绿谷集团共同组建了上海绿谷制药。
绿谷集团多年来一直致力于研发神药。三代灵芝抗癌药享誉多年:1996年推出的中华灵芝宝,因虚假宣传等原因多次被各地工商、卫生部门查处;2002年却顺利晋升到“国药准字B”,更名为双灵固本散。
更名后的双灵固本散继续发挥超能力,伪造、非法印刷《健康时报》等报刊进行虚假宣传。2007年,双灵固本散因伪造申请材料被药监局注销批文后,绿谷又推出了绿谷灵芝宝。
在因为971的重大突破被新华社报道的十多年前,绿谷曾因虚假药品广告上过CCTV。
短剧都不敢写的逆袭剧本。
争议971
可就在拿下了“全球新”的重大突破后,971却陷入争议。
最大推动者或许是著名科学家饶毅。
获批不到一个月,11月29日,饶毅实名举报971的主要研发人员论文造假,此时距离971正式开售还有一个月。
此后几年,饶毅多次批评971,指其不可能有效。
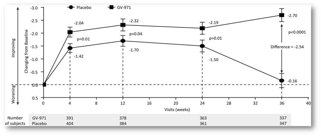
很多人也注意到971获批的依据,3期临床试验仅跟踪受试者36周,在阿尔兹海默症的药物研发中是非常短的时间。而且到试验最后一个时间点——36周时,安慰剂组突然变得拉垮,突显971的神效,这一切都让971是否有效成了争议话题。
不过,这并未影响971的高歌猛进。21年1月,科技部调查确认,耿美玉老师的971论文仅仅是图片误用,不存在造假——大概又是哪个不像话的研究生给老师添了麻烦。
21年12月,971迎来了更大的胜利:打入医保。20、21年连续两年绿谷申请进医保,20年失败了,但在21年,该药成功通过了32位专家的评审,并以降价6成的诚意,顺利进入。降价后一个月治疗费用约1100元。
成功在中国上市后,绿谷也致力于让全世界都能用上中国制造的阿尔兹海默症神药,于2020年4月启动全球3期临床试验,剑指FDA。
但到了2022年,伴随着进入医保的好消息,绿谷却迎来了一个坏消息:受融资环境影响,以及新冠冲击国内销售,公司无法继续承担高昂的国际临床试验成本。5月,绿谷宣布终止国际3期临床试验,聚焦于开拓国内市场。
出海可能出师未捷身先死,但在国内,绿谷仍然说一不二。2022年,进入医保销售的第一年,971销售破亿,准确说是1.7亿,虽比不上中华灵芝宝的第一年销售破4亿,但也是骄人战绩。
此后,971继续放量,2024年卖出200多万盒,收入破4亿。相信再努力努力,有望比肩绿谷从上药所拿下的上一个重磅药物,2017年销售额曾一度逼近50亿的丹参多酚酸盐中药注射液。
只是,是非成败转头空,2025年6月,突然爆出消息,由于未能完成上市时附带要求的研究,绿谷的药品再注册申请被药监局回绝。
在以极富戏剧性的方式上市后,一代神药似乎又要以极富戏剧性的方式落幕。
可是,幕布真要落下了吗?
白衣骑士
971度过了停产、遣散员工的喧嚣2025年盛夏,进入落寞的2025年寒冬,可就在大部分人都要把这个一代神药抛诸脑后时,属于971的白衣骑士出现了。
12月15日,中国医药巨头,复星医药宣布将以14.12亿元,收购绿谷51%的股权,将推动971的确证性临床试验,争取重新上市。
近年来,复星对国产神药的支持力度有目共睹。2022年,在新冠神药阿兹夫定获批后,复星毅然与阿兹夫定生产商真实生物签署战略合作协议,共同为中国老百姓提供被医保认为价格合理的新冠口服药。
虽然24年9月,与真实生物的合作中止,但复星支持神药的心意看来颇为坚决。对这个在小股民们看来属于迷之操作的行为,复星管理层信心满满。
解释股权收购时,复星管理层认为有此前800多人的3期临床试验以及四五千名病人的真实世界使用结果,971的药效可靠。如今需要的,只是补做一个1900多人的3期临床试验,复星预计28年底就能完成,成本约6.85亿。
接下来,由于不是新项目,药监局审批应该只要5-6个月,中国患者们29年就又能吃上971了,恢复幸福生活。而复星获得的,如果2029年上半年获批、2030年进入医保,销售峰值预计在2035年达到约40亿。即使暂时进不了医保,2030年的销售额也能超10亿。
复星的股民们或许会感慨,还是领导有眼光,能把握住这躺着赚钱的机会。不过又或许,会嘀咕,971真那么大潜力小风险,怎么绿谷停产那么多个月都没拉到融资?
神药的3期
一面是饶毅“不可能有效”的质疑,另一面是复星医药掏出10多亿真金白银礼聘。
这让我们不得不好奇971的疗效到底是怎么回事。或许,可以看一看让复星充满信心的971上市时依赖的3期临床试验。
这是一个在中国34个医疗机构完成的多中心3期临床试验,共招募817患者入组,410人为安慰剂组,407人接受971治疗。
临床试验的主要终点是ADAS-cog12评分变化,971组在这个评分的改善幅度显著高于安慰剂组,这也是神药上市的最关键证据:

ADAS-cog是评估阿尔兹海默症患者认知水平下降程度的一种评分,主要考察患者的记忆力、语言能力、时空感知、完成特定指令的能力。ADAS-cog12评分是这套评分的一个形式,指有12个评估事项。
ADAS-cog属于少数你希望考0分的测试:0代表没有认知功能问题,分数越高,认知功能下降越厉害。
知道这些后再看971的数据,会发现两个非常惊人的地方,第一,无论971还是安慰剂,开始治疗后,ADAS-cog12的评分变化是负数,也就是评分下降,这代表认知功能变好。第二,最后一个检测时间点,36周,安慰剂组的ADAS-cog12评分变化突然由之前24周时的-1.5左右拉升到0,也就是很多人指出的安慰剂组突然变差。
这两个现象无论哪一个都很难解释。
参考目前上市的两个β淀粉样蛋白抗体药,也是当下治疗阿尔兹海默最新,疗效得到完善的3期临床试验验证的药物,lecanemab和donanemab。它们的3期临床试验也有ADAS-cog评分,分别是ADAS-cog14和13:

无论是这两个抗体药组,还是试验中的安慰剂组,受试者的ADAS-cog评分都在增加,也就是患者都在恶化,药物与安慰剂的区别,只是恶化更缓慢。
这也符合当下阿尔兹海默症新药研发的主流观点:新药尝试的,是延缓疾病恶化。
971的试验结果,我们都先别管971表现如何,哪怕使用安慰剂,患者的认知水平也出现了改善,这都不符合阿尔兹海默症,这个神经退行性疾病的疾病特征了!
而且这种改善在第一个检测时间点,用“药”4周后就出现了。想想这意味着什么。之所以主流学界认为药物只能延缓阿尔兹海默的恶化程度,而非改善,是因为已经损失掉的认知能力,基础是β淀粉样蛋白等疾病的经典病理物质对神经细胞有毒,造成神经细胞损伤,这类损伤不可逆,至少以当下的医学、科学水平,不可逆。
971的临床试验,显示的是,吃个淀粉丸子(安慰剂),很快,淀粉不仅阻止了β淀粉样蛋白等物质继续伤害神经细胞,还神奇的立刻逆转了此前神经系统遭受的伤害。
971或许如耿美玉老师以及上药所的院士专家们所言,可以通过对肠道菌群的作用影响肠—脑轴,但问题是,难道你们搞的淀粉也影响了肠—脑轴了吗?!
治疗的前24周,半年时间里,安慰剂组的ADAS-cog评分改善稳定在1.5分,两个β淀粉样蛋白抗体的临床试验,同时间安慰剂是恶化1.5分,一来一去可是巨大差异了——绿谷的淀粉比两个抗体药都惊艳!这两个抗体药如今进入了第一批商保创新药目录,绿谷是否应该考虑把自己用的淀粉也申请个医保目录?
当然,经历了前四周的快速改善后,安慰剂组在24-36周经历了迅速恶化,这又是一个不合常理的表现。
更多匪夷所思
神药神奇的当然不止是ADAS-cog评分这一个临床试验终点,其它数据也都有匪夷所思的特征。
如前所述,ADAS-cog评分针对阿尔兹海默症的认知,可阿尔兹海默症的疾病表现不仅是认知能力下降,还有功能下降,比如完成日常生活事务的能力,上厕所、算账等等。
认知能力,比如记名字等,与上述功能有区别,可也密切相关。阿尔兹海默症患者由于大脑功能的萎缩,整体我们会看到认知与功能,都在下降。
现在,我们看到971神奇地逆转了患者的认知能力——ADAS-cog评分改善显著优于同样挺神奇的绿谷牌安慰剂,你觉得在功能方面,患者的表现会如何?
971竟然和安慰剂没有区别!用来评估功能的ADCS-ADL评分,没有差异。
不仅是ADCS-ADL没区别,评估神经心理的NPI,评估疾病状态、认知与功能的CIBIC+,都没有显示出疗效。
相比之下,没能改善认知能力的两个β淀粉样蛋白药,临床试验里却是多个试验终点都取得了相对安慰剂组的显著疗效。
971的表现可不是考数学100,英语0分的偏科,是英语听力100,阅读0,这合理吗?
还有一个令人震惊的细节。有个迅速评估认知能力的评分,MMSE,总分30,24以下属于有认知障碍,越低越严重。在两个β淀粉样蛋白抗体药的临床试验中,基本没有MMSE评分低于20的患者,因为这些药是用在轻度阿尔兹海默的患者,延缓疾病恶化。
可在971的临床试验里,不仅有近一半患者MMSE评分低于20,而且是评分最低11-14这部分患者,971与安慰剂的差异最大。

11-14这已经非常接近严重认知障碍,在这一组人群里,971居然在用药4周后,就让ADAS-cog评分改善了3分多。
让我们再度思考在神经机制上意味着什么:因为阿尔兹海默,神经细胞已经显著受损,从而导致认知功能下降显著的患者,仅仅吃了971四个礼拜,不仅本应持续受损的神经细胞不再受损了,还立刻“起死回生”,让认知能力大幅恢复。
但在病情更轻的患者里,971反而没了这等神效。
这是科学,还是科幻?
三年见分晓?
显然,复星选择相信971。
当然,按照复星的回应,28年底就能完成完全符合国际标准的1900多人的3期临床试验,971是神药还是“神药”,3年就能见分晓。
可是,真的如此吗?
971上市时依据的3期临床试验,从2014年3月启动,2018年6月完成,是4年多一点,而这还只是800多人,只跟踪36周。
绿谷最终放弃的国际3期临床试验,2020年4月启动到2022年4月,完成入组439人。
而且,根据复星公开的信息,绿谷作为复星的子公司,主要任务将是完成验证971的临床试验。
也就是这3年要完成的3期,还是绿谷做。
那971的药品注册证怎么就在今年玩完的呢?药品注册5年一续,提前半年可以申请。
19年获批的971,24年末注册就到期。上市时的附加条件是完成补充数据,再度注册时就成了必须完成的事项。
补充数据里比较硬性的似乎是耿美玉在971上市后接受新华社采访解释为什么是附条件上市时就说的还要提交2年大鼠致癌实验结果,别的是“上市后继续进行药理机制方面的研究和长期安全性、有效性研究”。
根据此前的媒体报道,大鼠致癌结果已经提交,重复的3期已开展2年,还需要数年。
也就是说,这是一个花了5年时间,都没完成“附条件”的公司,3年完成3期临床试验,30年再度进医保,这是忘吃药了,还是吃药了?
一个故事
从停产到白衣骑士出手,971续写着一代神药的传奇。
而这让我想起一个很久很久以前的故事。
曾经,有一个商界新秀,小有成就后打算去某国际金融中心拜码头,结识前辈大佬,扩展点业务。只是,国际金融中心的前辈大佬们,啥大风大浪没见过,如何结交成了难题。
新秀虽然搞了个挺有创意的歌舞团,可大佬们影星港姐都见多了,歌舞团哄哄别人行,糊弄这些老饕大概没戏。
于是,新秀另辟蹊径,天天二话不说,就陪大佬们打牌,别人打牌有输有赢,小赌怡情,见好就收;这新秀打牌只输不赢,不眠不休,越输越赌。
终于,大佬赢高兴了,与新秀结下了过命的交情。
所以,白衣骑士到底是买神药,还是买神药背后的神人呢?
订阅关注防失联
前沿医药,请关注
参考资料
https://link.springer.com/article/10.1186/s13195-021-00795-7
https://www.thepaper.cn/newsDetail_forward_32195895
https://www.nejm.org/doi/full/10.1056/NEJMoa2212948
https://jamanetwork.com/journals/jama/fullarticle/2807533
https://www.fiercepharma.com/pharma/controversial-china-made-alzheimers-drug-aborts-global-clinical-trial-capital-raise-hits
