本文来自微信公众号:胡渊鸣 Ethan,作者:E,原文标题:《胡渊鸣 | 生成式 AI 这门生意(上)》,题图来自:AI生成
前段时间有位老友找我,说有 20 个中国公司的老板参加完 CES 想到湾区来看看 AI 创业公司是长什么样的,听说我们做得还可以,就想让我帮忙讲一讲 AI 公司是怎么做的。
我看了一下他们这 20 家公司的市值加起来可能接近 1 万亿人民币,弄得自己非常紧张,生怕讲得不好、在段位更高的人面前出丑,做了一晚上 PPT 还没做完,只好第二天早上 7 点钟起来继续做,9 点做完开车去公司,迎接老板们 10 点钟来访。标题是“生成式 AI 这门生意:10 年软件行业的变与不变”。
没想到讲完他们觉得还都不错,正好今天初五迎财神,把这个内容再整理一下和大家分享分享。祝各位创业者新年都能发财!

火锅镇楼。以前没 PMF 的时候,觉得楼下卖水果、开火锅店的阿姨都有 PMF,我咋就没有,十分羡慕。后来我逐渐理解了更多商业的本质,不羡慕人家开火锅店的人了。
这篇文章主要有三部分:
1. 我经常被问的一个问题:“技术人能做好生意吗?”
2. 科普:软件(SaaS)生意有哪些重要指标?
3. 正文:10 年软件行业的变与不变
一、Ph.D.也要做生意
借这篇文章回答一个我经常被问到的问题。经常有想创业的朋友来找我咨询,问:“我是一个技术出身的人,是否要找一个商业出身的人来做 CEO,我当 CTO,我们俩搭档呢?”
我觉得这是一个非常有代表性的问题,也是很多人普遍有的一个疑问。我们来看看另一个 MIT Ph.D. 苏妈(Lisa Su)是怎么说的:
"I saw in many business environments,that MIT PhDs worked for Harvard MBAs. And the truth is, that makes absolutely no sense to me!"
“我在许多商业环境中看到,MIT 的博士们为哈佛的 MBA 工作。实际上,这对我来说完全没有道理!”

我对这个问题的看法和 Lisa 一样,是否定的。甚至我强烈反对这样做。
我们去看看世界上其实做的最好的科技公司,几乎绝大多数的创始人或者 CEO 都是技术出身。比如英伟达的黄仁勋,腾讯的马化腾,字节跳动的张一鸣,网易的丁磊,米哈游三杰,英特尔辉煌年代的 Andy Grove,小米的雷军,Tesla 和 SpaceX 的 Elon Musk,宁德时代的曾毓群,京瓷的稻盛和夫,任天堂的岩田聪,无一例外都是技术背景出身。
根据上面的例子,作为技术人,我们应该有充足的信心。技术人是能做好生意的,并且实际上天花板最高的生意也都是由技术人做出来的。
本质上为什么会这样呢?我觉得最大的原因是,科技公司 CEO 必须深入地理解技术,而这种理解必须是通过数十年的积累才能得来的,似乎没有捷径。
其实 Lisa 在自己的演讲中提到,我作为一个技术型的 CEO,我真正理解技术。我想应该所有技术人都有这样的担忧:我找到了一个懂商业但是不懂技术的合伙人做 CEO,我自己去做 CTO,然后我实际上作为了解技术细节的人反而失去了对事情的掌控权。而这个 CEO 因为他没有相应的技术背景,所以他其实很多的技术上的判断,或者说对于很多事情的分析,是完全缺乏实际根据的信口开河。一般做技术的同学会比较 humble,更多愿意自己去承担问题,但是这种情况实际上是经常存在的,不慎重选择,对公司发展是很不利的。
有时我会想,我辛辛苦苦做这个公司,好不容易把业务搞上快速增长的正轨了,结果发现好玩的代码都让下属写了,我作为创始人每天做着团队管理、招聘、融资、谈客户、媒体采访这种对一个工程师来说没啥意思、反馈周期还超长的工作,简直是倒反天罡......
其实我也不是没有想过找一个 CEO 来,我自己当 CTO,毕竟我自己还是技术属性比较强的一个人。但是一想到有一个对技术不太了解,每天瞎指手画脚的人来指挥我,教我做事,然后有很多需求完全不合理,不够务实,我就浑身难受。所以后来想想虽然累一点,还是自己去掌握这些商业技能吧。(实际上,只要脸皮够厚,这些事情比抽象代数容易太多了好吧!而且投资人、客户、媒体、人才也更愿意和知道技术细节的人交流,咱们技术人天生有优势的。)

其实坦率来说,技术人去掌握商业技能要比一个商业出身的人掌握技术技能容易实在太多了。实际上只要克服恐惧,扛住几波市场的毒打并从中吸收经验教训,工程师不但可以做好技术,也可以做好管理(参见 Andy Grove 的《High Output Management》),更可以做好公司(参见 Jensen Huang)。技术人学习商业是比商人学习技术容易很多的事情。下次有机会我再分享分享 Meshy 做起来之前,我都经历了哪些毒打,和我几次绝望到极点、差点放弃的故事。
其实自由市场和实验室做实验是非常相似的一个事情。自由市场的特点就是用户如果面前有两个产品,他一定会选择看起来对他更有价值,性价比更高的一个,总之他就选择更好的一个。这个其实和做一个实验或者是优化一段程序是非常相似的,它是一个非常理性、客观的事情。在这种情况下我觉得技术群体就有很大的优势了,因为他们非常客观务实,不跟你整些虚的。从 CUDA PTX 写到 Business plan,在 AI-native 时代,这样的 CEO/CTO 垂直整合变得更加重要,我相信也是未来科技公司竞争力的来源之一。

二、营收(Revenue)与现金流(Cashflow)
作为技术人的商业第一课,我们必须要理解现金流的重要性,以及“现金流和营收其实是两码事”。
Revenue 和 cashflow 最大的区别在于:cashflow 会决定公司的生死,它是实时发生的现金流入流出为口径,而不是以合同签订或者对未来的期待为口径。Revenue 是另外一种统计口径,它以权责发生制(accrual basis)为统计口径。具体的一个例子,比如说一个用户在你这边订阅了一年,他给你付了 240 刀,也就是每个月 20 刀。他虽然今天给你带来 240 美元的现金流,但是你的 revenue 均摊到每个月上其实只有 20 美元,这是 SaaS 行业的共识。
Revenue 很高的公司也可以现金流断裂。比如说我和客户签了一个一千万的合同,但是客户一直不付钱,那么我可以说我 revenue 多了一千万,但是我的 cashflow 里面并没有收到这笔钱。所以如果我这样的合同签得多了,虽然我有很多 revenue 但是我公司还是会破产,这个就是在很多账期较长的生意当中经常出现的问题。
另一个悲伤的词是:“首款即尾款”,比如果我签了个合同分三期支付,结果客户首款付了以后,第二期、第三期因为某种原因,可能是客户倒闭了(中国中小企业平均生命周期只有 2.5 年),可能是种种原因拖着了,这个 revenue 是记着了,钱却没收到。
AI 软件行业的营收主要有两种来源:一种是订阅制的来源,这种一般用 Annual Recurring Revenue。由于订阅制通常按月扣费,所以行业算 ARR 一般用 ARR = MRR x 12,MRR 就是 Monthly Recurring Revenue,也就是每个月活跃订阅用户的数量乘上 ARPU,如果有多个 subscription tier,就求个和。还有一种是基于消耗量计算 token 作为来源,这种一般叫做 Annaulized Run Rate。两个的写法都是 ARR,所以大家有的时候会把这两种 ARR 混用。但实际上我们都要知道这两种 ARR 性质完全不一样。前者是 high retention,它是有比较强可持续性、可预测性的;而后者呢,它可能爆发性强,但是也可能很快就消失。
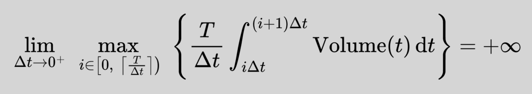
这里最大的误区在于,很多创业者会把“这天我收上来的钱乘以 365”作为 ARR。但这样既不 Annual,也不 Recurring,更不是 Revenue。
实际上,由于 cashflow/revenue 一定是若干 Dirac Delta 的组合,只要收入不为 0,你总是可以算出来无穷大的营收的:

我把我收到钱最大的一个纳秒(或者普朗克时间)的钱数乘上一年的纳秒数,分分钟成为世界五百强......
由于 AI 时代的不少产品沿用了 SaaS 时代的订阅制商业模式,所以很多商业上的指标、分析方式没有本质改变。实际上,SaaS 行业发展了二十年,已经形成了完整的理论体系,在 AI 时代依然适用。
科普完了,下面是正文。
三、10年软件行业的变与不变
五点变化
变化1, Growth:AI时代产品起量速度是SaaS时代的3-4倍
SaaS at 2010s: ARR “T2D3”,也就是“Triple,Triple,Double,Double,Double”,“三倍,三倍,两倍,两倍,两倍”。
每年 ARR:$1M -> $3M -> $9M -> $18M -> $36M -> $72M -> IPO。
发展到 2020 年左右的时候,SaaS 行业已经是高度成熟、可预测的了。
在 AI 时代之前,哪个软件一年之内从 $1M 到 $100M,这个是非常不可想象的事情。我记得之前 2022 年有一个 Wiz,18 个月做到了 $100M ARR,但是可能也就只有这个例子,当时大家看到这个例子也觉得很离谱了。
AI: $0 -> $100M in 1-3 year。
比如说 Meshy: $1M -> $18M 大概花了 12 个月,相当于一年实现了“三倍三倍两倍”,也就是三年传统 SaaS 才能实现的事情。
所以我经常跟团队来说,我们就是急行军,就是要去干以前别人三年才能干到的事情。这个没有办法,因为这个行业就是这样的。
实际上我们还不是最快的。还有像 Loveable,Cursor,像 Manus 这样的产品,他们从 $1M 到 $100M 只花了一年不到的时间。
别忘了 Anthropic 在 $1B 级别 ARR 的体量下,还能保持每年 10 倍的增长。
模型层一代模型迭代约为 3-6 个月,模型迭代一定会带来营收大幅增长。
应用层有了 Vibe coding:用 AI 做 AI 产品,迭代会更快。
实际价值:AI 提供的用户价值是解决实际问题,这个和传统 SaaS 的 “Excel” 加速比起来,那是不知道高到哪里去了。这是 AI 技术的快速成熟解锁新能力导致的。


图片来源:BVP "The State of AI 2025"
为什么增速快?我认为主要有三个原因:
情绪价值:整个世界都在讨论 AI,每行每业只要不讨论 AI 就落伍了。任何产品只要带上 AI 就有人愿意试,这大大降低了激活能量。传统软件,你想让客户切换,得满足 “新体验 > 旧体验 + 切换成本”,切换成本在 SaaS 时代内部的软件里面很高,但是从 SaaS 时代切换到 AI 时代的软件,天然就会更低(谁不想明天上班和同事吹嘘一下我又试了一个 AI 产品呢?)。
Prosumer 驱动:起量快的产品主要以 Prosumer 为主,散客信用卡 self-serve 就能完成支付,而传统的企业软件(Enterprise SaaS)销售周期则从 1 个月到 1 年不止。
传统 SaaS,如 Figma:$1B ARR,B2 ProC 端留存优秀,B2B NDR > 100%。
变化 2,Retention: AI Prosumer/Consumer App 普遍留存较低
AI 产品: Prosumer/Consumer 为 “AI” 买单,“AI visitor” 占比很高。
a16z 建议从第三个月开始算 retention。
一些用户会在类似产品中间反复横跳,没有忠诚度可言。
对 Unit Economics 的影响:Retention 低影响 LTV,而 LTV 较低限制 CAC 上界。
传统软件产品开发:产品经理 -> 工程师 -> QA -> 上线。
变化 3,Eval: AI 模型训练可预测性低
迭代周期:两周
失败率:< 5%
而基础模型的训练与迭代充满不确定性。
算法研究员 -> 产品经理 -> 算法研究员 -> 评测(Eval)-> 产品经理 -> ...
迭代周期:3-6 个月
失败率:30%~60%
如果没有 Eval(系统性的模型能力评估),连模型的好坏都很难判断。
所有产品都是 f(x) = y。
传统产品:x 被清晰定义、限定在某个具体范围,f 可以被理解。
AI 模型:x 的可能性太多了,f 又是黑盒。
大模型训练、应用都是 “制造业”。
不存在网络效应,用户粘性低。
也许有一定的规模效应。
上下游集中度对毛利润有至关重要的影响。
Unit Economics: 单位经济模型。
模型公司成本结构:GPU(40%),数据(10%),人员(30%~40%)。
应用公司成本结构:API & token(40%~120%),获客(30%),人员(20%)。
互联网 & 传统 SaaS:在线服务本身为高毛利业务(90%+ margin)。
一些 AI 应用公司甚至是负毛利,which is fine,因为一级市场认为 token cost 会很快降低,所以他们也能融到钱。
垂直整合在 AI 这个制造业里面发挥很大的作用。2026 年闭源模型公司必做应用,因为毛利润的提高值得研发投入,并且一级市场也会对模型公司给出更高的 multiple。
所以 Eval 非常重要。

Artificial analysis 的大样本随机双盲实验,专治模型开发商的心理作用,“咱自己的模型就是好!”
变化 4,Moat: AI 时代不再有护城河
唯快不破
Execution(speed)是唯一的 moat。
“AI-native” 公司成为目前行业最热门的词语之一。
Branding 是 weak moat,有点用但是不大。越来越多人从 ChatGPT 转去了 Gemini。
Taste 也许是 moat,但这更多看一个团队如何明智地选择 “不做什么”。
十年前:网站前端技术、后端技术、数据库基本恒定,推荐算法是稍有变化的地方。
变化 5, Readiness: AI 技术成熟度欠佳
技术迭代速度:
业务发展的瓶颈是 scale,铺人。
AI 时代:GPT 3/3.5/4/5,Meshy-1/2/3/4/5/6/......
每半年技术就会有本质变化。
业务发展的瓶颈是模型能力。
Prosumer 起量快,B2B adoption 受 AI 模型质量限制。
具体来说,Meshy 作为最早上线的 3D AI 产品,长期在用户的批评声中成长。最早的批评声是“你们 AI 生成的模型我都懒得改,还不如重做!”,现在好很多了。

Meshy v0 生成的模型,角色动物平均长 2.5 张脸,用户主要用来做恐怖游戏

两年以后 Meshy v6 生成的模型
以上就是五点软件行业 10 年来最大的变化,即 Growth、Retention、Eval、Moat、Readiness。你觉得还有哪些变化?欢迎留言讨论。
既然标题叫做“变与不变”,其实还有五点我认为是软件行业最近 10 年都没有变化的内容,今天来不及写了,我就先剧透一点,也是我认为最核心的一点:CEO (或者团队一号位)的成长速度依然是一切的天花板,这一点我想永远不会变。CEO 强,高管团队才能强,他们招进来的一线员工才能跟着强。CEO 的认知决定公司走向和重要决策,这些决策能让团队的效率事半功倍。所以 CEO 是个每天被架在火上烤的角色。(实际上对于所有的团队都是这样的:leader 有多强,团队就有多强。)
写完发现这篇文章不够 self-contained,有些关键概念没来得及定义,所以下篇除了介绍 10 年软件行业 5 点没有变化的内容,还会简单介绍一下毛利率、COGS、Burn multiple、ARR per employee、LTV & CAC、ARPU、NDR、Top-line & bottom-line、上下游集中度、Market segmentation(SMB,Mid-market, Enterprise)等等 AI 与 SaaS 行业的常用术语和指标。等我下次有时间再和大家分享吧,我这里比较晚了。
(这篇文章也算压力测试一下我自己 vibe code 的这个语音写作系统到底效能怎么样。本文基本上是在我吃火锅的时候,菜从锅里夹到碗里后,等菜凉下来的时间,用语音写成的。AI 大幅提高了吃火锅的效率。)
本文来自微信公众号:胡渊鸣 Ethan,作者:E
