本文来自微信公众号: 食栗派ChestnutMates ,编辑:山楂,作者:食栗派
在新品赛道上常年被某幸压一头的星巴克,最近凭借一款新品在社交媒体上狠狠火了一把——一杯含20g蛋白质的高蛋白拿铁。

▲图:星巴克小红书
社交平台上网友们纷纷种草:
“一杯拿铁,半块牛排”
“提神补营养,健康咖啡天花板。”
“健身人的新宠!
这几年,“多吃蛋白质”这件事越来越深入人心。减肥、健身、控糖、抗衰,几乎所有健康话题里,蛋白质都在被反复强调。
小栗子也写过很多这方面的科普,“每餐都要吃够蛋白质”
这么看来,一杯高蛋白拿铁满足一天所需蛋白质的1/3,还真是挺不错的。
但问题是,它能解决你每天早上状态不佳的难题吗?“喝蛋白”和“吃蛋白”一样吗?
高蛋白是怎么做到的?
咖啡+高蛋白,这个组合看似新奇,但健身圈子早就有人早实践。

▲图小红书@我会修猫
在2021年,这类饮品以"Proffee"(Protein+Coffee)之名在美国Tiktok上流行;而星巴克则在2025年9月在北美市场推出了高蛋白拿铁。
国外采用的牛奶+乳清蛋白的配方,国内用的是高蛋白牛奶。

▲:星巴克美国官网。
根据公开信息,这种高牛奶的蛋白质含量大约在6g/100ml,大约是普通牛奶的2倍。
这种牛奶来自一种处理技术——UF纯化超滤技术。
简单说,就是通过一种极细的“筛子”对牛奶进行过滤,水和一部分乳糖会被过滤掉,而分子更大的蛋白质被保留下来,相当于被“浓缩”了。
蛋白翻倍,其他营养呢?
超滤,本质上是按分子大小来“筛”:
小分子:水、乳糖、部分矿物质(如钠、钾):它们能轻松穿过筛网。
大分子:蛋白质、脂肪:它们体积太大,被筛网牢牢挡住。

▲A I辅助下制作
1.依然是补钙最佳选择
牛奶中的钙不是“自由身”,它们大部分是和酪蛋白紧密捆绑在一起存在的。
所以,钙得到了很好保留,浓度还会提高。所以,超滤奶依然是补钙的“黄金选择”。
2.脂肪:热量其实人为可控
脂肪在牛奶里是以“脂肪球”的形式存在的,这些小球的体积比酪蛋白胶束还要大得多。
所以,理论上如果对全脂奶进行超滤,脂肪会被挡下来。
但实际操作时,一般会先对牛奶进行脱脂处理,然后只对脱脂奶进行超滤,最后根据产品定位按需加一些稀奶油,以控制最终的脂肪含量和口感。
https://www.pexels.com/photo/14721886/
为什么要如此“多此一举”呢?
因为,分离出来的乳脂肪(稀奶油)可是高价值商品呀!
它可以拿去卖给别的厂家做黄油、冰淇淋或高级甜点。而如果全都留在超滤奶里,不仅成本高,还得背上“高热量”的锅,实属不划算。
因此,你最终拿到手的超滤奶,热量可能并不会增加很多。

3.乳糖:总量减少,浓度不变
超滤膜虽然拦不住乳糖,但它拦住了“剩下那部分水”,所以乳糖会按照原有的浓度,自由地待在剩下的水里。
换句话说,总量减少了,但剩下的奶里乳糖浓度没变。
所以,如果是普通的超滤奶,重度乳糖不耐受的人喝了依然可能会有反应。

▲小红书@星巴克
星巴克高蛋白拿铁做到“0乳糖,是通过在牛奶中添加乳糖酶实现的。乳糖酶可以把乳糖分解掉,分解为葡萄糖和半乳糖。
口味上也会有些变化,会更甜一些,因为分解出来的半乳糖和葡萄糖,甜度都比乳糖高。

但是注意,它只是0乳糖,并不是0糖。除了经典的高蛋白拿铁,另外几款都默认加2泵糖浆。
其实,类似的牛奶国内几个大厂早就已经推出过,比如蒙牛的鲜菲乐;但不知为何已经停产了。
为什么都在推「高蛋白」?
这波高蛋白的风,其实是有现实背景的。
一方面,是大家的健康意识在提高;另一方面,司美格鲁肽这一类减肥药的流行有关。
伴随着食欲降低、热量摄取减少,GLP-1药物使用者更加重视单份食物的营养密度和饱腹感,这使得高蛋白零食等类别在市场上崛起。

▲reddit网友的讨论。
减肥时吃的少了,比较容易饿,蛋白质能帮我们应对2个关键问题:
1.饱腹感:在同样热量摄入量下,蛋白质可以提供更强的饱腹感
2.肌肉流失:在热量不足的情况下,尽可能保留肌肉
而在中国,星巴克强调这杯拿铁“轻松补足一餐所需蛋白质”,目标用户也许并不止于健身人群,而是越来越注重健康饮食的广泛群体。

这一点,作为营养师我要给星巴克鼓掌,让更多人意识到“每一餐吃够蛋白质”的重要性。
但问题是,“喝”进去的蛋白,和“吃”进去的蛋白,真是一回事吗?
喝蛋白VS吃蛋白
真是一回事吗?
相比普通拿铁或其他饮料,高蛋白拿铁的营养组成无疑是更优秀的;
但同样20g蛋白,咕噜咕噜喝下去,和细嚼慢咽吃下去,对身体的影响其实并不相同。
增肌:长期看一样
从肌肉成长的角度来看,身体没那么“挑剔”。
无论是啃鸡胸肉,还是喝一杯高蛋白拿铁,只要蛋白质摄入量够、氨基酸构成合理,增肌的效果在长期看来并没有本质区别。
确实有一些研究发现,液体形式的蛋白进入体内更快,血液里的氨基酸浓度上升也更迅速,短时间内更容易触发“开始合成肌肉”的信号[4]。
但这种差别更多体现在“速度”上,而不是“效果”上。长期来看,两者并没有优劣之分。
https://www.pexels.com/photo/4378601/
喝蛋白的主要优点可能还是省事儿吧。在赶路、开会或者健身完急需补给时,液体蛋白确实是更便利的选择。
但如果你关心的是“能不能更抗饿”、“对减脂有没有帮助”,情况就不一样了。
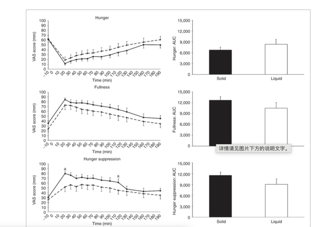
饱腹感:喝≠吃
有研究做过一个很有趣的实验[5]:让受试者分别吃下“完整的鸡胸肉”和“打成糊糊的鸡肉泥”。
结果显示,吃完整肉的那一组,饱腹感更强,也更不容易饿。

原因其实不复杂。
首先,咀嚼本身就是一个信号。
固体食物需要咀嚼,这个过程会通过神经反射提前启动饱腹相关信号;喝东西几乎不需要这个过程,大脑对这顿“饭”的感知会弱很多。
其次,胃排空速度差异。
刚喝完那一刻,液体可能更“撑”,但液体在胃里待的时间通常更短,很快就会排空;而固体食物停留得更久,对胃的“占据感”也更强。

▲固体胃排空明显慢于液体胃排空。图:参考资料[6]
从这意味着,虽然你喝下了一杯看似很“硬核”的高蛋白拿铁,但因为它没法像正餐那样让你产生“吃饱了”的满足感,很可能会在之后不知不觉地吃下更多热量。
所以,值不值得喝?
其实没有那么神秘。
对一些人来说,它确实有帮助。
比如早上赶时间、来不及吃早餐,或者运动后需要补充蛋白,这种时候它是一个方便的选择。
但如果你的日常饮食本来就正常、规律,也不缺蛋白质,那么它带来的改变,其实有限。
我们需要吃够蛋白质,但要避免陷入蛋白质焦虑。
对大多数人来说,每一餐吃到20-30g蛋白质,基本够了。每一餐饭,主食正常吃,搭配1-2种优质蛋白食物,就能吃到那么多。

这杯高蛋白拿铁,本质上不是“更健康的咖啡”,而是一个被做成咖啡的蛋白补充方案。
蛋白质当然重要;但很多时候,我们缺的并不是那额外的10克蛋白,而是一顿好好吃完的早餐。
你喝过这款新品了吗?好喝吗?
[1]Don,Pramith U et al.“Ultrafiltration of Whole Milk:Impact of Homogenization and Ultrafiltration Temperature on Processing Efficiency and Component Retention.”Foods(Basel,Switzerland)vol.14,8 1370.16 Apr.2025,doi:10.3390/foods14081370
[2]高瑞雄,袁凯,贺保平,等.超滤膜浓缩牛奶营养组分的变化[J].食品工业,2024,45(05):317-321.
[3]FISCHBACH‐GREENE,L.I.N.D.A.,and NORMAN N.POTTER."Effects of ultrafiltration on retention of minerals and other components of milk." Journal of food science 51.2(1986):345-347.
[4]van Lieshout,Glenn AA,et al."The postprandial plasma amino acid response does not differ following the ingestion of a solid versus a liquid milk protein product in healthy adult females." International journal of sport nutrition and exercise metabolism 33.5(2023):247-254.
[5]Martens,Mieke J I et al.“A solid high-protein meal evokes stronger hunger suppression than a liquefied high-protein meal.”Obesity(Silver Spring,Md.)vol.19,3(2011):522-7.doi:10.1038/oby.2010.258
[6]Bennink,Roelof J.,et al."Validation of gastric-emptying scintigraphy of solids and liquids in mice using dedicated animal pinhole scintigraphy." Journal of Nuclear Medicine 44.7(2003):1099-1104.
