本文来自微信公众号: 格致论道讲坛 ,作者:张同杰,原文标题:《上世纪70年代,我们给外星人发了条 “短信”,还把地址写得明明白白...... | 张同杰》
我相信,
宇宙不会永远沉默下去,
我们终将找到地外生命。
张同杰·北京师范大学物理与天文学院教授
格致校园第59期|2025年11月22日北京
大家好,我来自北京师范大学。
看到这个题目,大家可能觉得非常熟悉,因为里面有“外星人”这几个字。大家想到的可能是科幻电影、小说之类的,但是今天我给大家讲的这些故事,是基于科学的角度。而我可能是国内第一个——真正从科学的角度来开展地外文明搜寻的人。
宇宙中只有人类吗?
已完成:10%//////////
首先,这张图是美国的旅行者1号。1990年飞往太阳系边缘的旅程之中,在距离地球60亿公里的地方,它转身回望,拍摄下地球的图像。

▲《暗淡蓝点》(Pale Blue Dot)
1990年2月14日,旅行者1号在60亿公里外拍摄的地球
从这么远的地方看地球,大家可以想象一下,就这么一个小小的点。所以,美国著名天文学家、科普作家卡尔·萨根曾经在他的一本书里,把它称为“暗淡蓝点”,并且深有感触地写下了这么一段话——意思是,在这样一个点上,也就是在这个地方,所有我们爱的、恨的、已经失去的或者还没有出生的人,都将会在这个地方走完他的一生。
所以,当我们回望这个暗淡蓝点的时候,我们会想到什么?我们会想到整个宇宙中,除了地球上有生命之外,其他的地方有没有生命?实际上,科学家、哲学家还有一些科普作家,都在思考这样的问题。
又说回卡尔·萨根,实际上他是一位天文学家。他曾经说过一句话,这句话也非常富有哲理,也具有科学性。他说,如果宇宙中存在的生命,只有地球上的人类,那么将是对宇宙空间极大的浪费。
言外之意,宇宙空间如此之大,如果仅仅在地球上有生命的话,那将是不可思议的。也就是说这整个宇宙空间,将是极大的浪费。所以,这是对“是否有地外生命”这个问题的一个非常好的诠释。
那么,问题就来了——自20世纪60年代,真正从科学上探讨外星人之后,以及20世纪60年代之前,从哲学上探讨是否有外星生命,大家一直在问:我们在整个宇宙中是不是唯一的?用英文来说就是Are we alone?这个句子非常著名。
所以说,我们在宇宙中是唯一的吗?我们在宇宙中是否还有同类?这是很多科学家、公众都非常关心的一个重要问题。
当然,今天我给大家讲的这些关于外星人的故事,不仅仅是出现在科幻作品里。我们大家平时看到的外星人,大多数都是出现在科幻小说、电影里,而在这些小说和电影里,外星人的形状、技术水平等等都不一样。
今天,我将从更严肃的科学研究角度来给大家介绍——如何搜寻地外生命,或者俗称就是外星人。
搜寻地外生命
已完成:30%//////////
首先,我相信外星人是一定存在的。关于这个问题,实际上刚才也说过,不同学科的科学家或者是一般的公众,都在思考和试图回答这样的问题。但是从科学的角度来探讨的话,我们必须有科学的依据。
有一个很重要的依据,我们称之为哥白尼原理。哥白尼原理告诉我们:我们的地球在整个宇宙中,没有什么特殊之处。通过这张图我们就可以看出来,回顾探索整个宇宙的历程,我们可以看到,最初,人类认为宇宙的中心在地球上,这就是“地心学说”。

之后又认为宇宙的中心是在太阳系上,也就是“日心学说”;再后来,随着天空观测技术的发展,我们认识到宇宙的中心不在太阳系上,它应该在银河系的中心。但是我们发现河外星系之后,知道了宇宙的中心其实也不在银河系上;再后来,我们又发现了很多河外星系;如今,我们已经差不多把宇宙中的很多天体都观测到了。
我们现在知道,整个宇宙实际上没有中心。也就是说,每当我们声称所在的地球、太阳系、银河系是独一无二的、是宇宙中心的时候,我们都错了。
所以说,这是我相信地外生命存在的第一个证据。基于这个原理,宇宙中任何一处都不是特殊的。既然在我们的银河系、太阳系里的地球有生命,那么宇宙中其他的地方也应该有生命。不仅仅是在宇宙其他地方河外星系,就是在我们银河系里面也应该有地外的生命。
第二个依据,就是德雷克公式。这个公式描述了我们银河系内能够进行星际通讯的智慧生命的估计个数。
那么接下来的问题就来了,我相信地外是有生命的,并且有智慧生命,那么如何去寻找?这是一个很重要的问题,也就是说这就牵扯到科学的问题了,从科学上我们怎么去寻找?
这里面有两个大的策略,第一个策略就是我们要主动去寻找外星人。这就相当于在一个城市里,你想找一个朋友的话,你怎么去找?我可以直接过去,或者派一个人坐着出租车找他去。再就是发信息——我们找外星人的方式类似这样。
大家可以看到这两张图。这是第一种方式:派宇宙飞船去寻找外星人。20世纪70年代,先驱者探测器、旅行者探测器,它们都从地球上发射之后,奔着太阳系的边缘飞去,直到现在一直在飞。它们携带了一些信息,比如说携带了太阳系的一些图案,还携带了一些音频和视频的信息来表征我们地球人类文明的先进程度。这种方式是非常昂贵的,相当于大海里面的漂流瓶,也不抱什么希望,就是让它一直往外飞。

另外一种方式就是发信息,就像发手机短信或者微信似的。20世纪70年代,美国的阿雷西博望远镜向着银河系的一个球状星团M13,发射了这张图片上的信息。这个图片包含了很多的信息,包含了这种DNA的结构信息,还有地球在太阳系里面的位置。

实际上,在20世纪70年代,阿雷西博望远镜向太空中发射的这个信息,已经透露了我们地球所在的位置。所以说,现在一些科幻小说、电影里面都说“不要透露我们的信息”,但实际上我们早已透露了,大家不用担心这些问题。
第二大类策略就是被动地寻找,即我们不去找他们,而是等着他们来找我们。我们可以等待外星人发射的宇宙飞船、某种智能体,或者等他们乘着宇宙飞船过来,当然到现在我们都没有找到。
第三种方式,就是等待外星人发射的信息。这个是最容易的,也就是我今天讲的主题——搜寻地外文明,英文缩写为SETI(Search for ExtraterrestrialIntelligence)。这种方式实际上是非常有效的,也是非常廉价的一种方式。但是前提是假定外星人发展了和我们相当的、甚至比我们更高的技术。

▲用射电望远镜倾听外星人的信息
地外文明的搜寻,主要是讲我们中国科学家进行地外文明搜寻的故事。这个故事应该开始于2014年,我访问美国加州大学伯克利分校天文系时,在每周的讨论会上,我遇到了一个科学家叫丹(Dan),我们当时交流得非常好,后来他邀请我参加他的一个公众演讲,我才知道他是世界上非常著名的SETI专家、伯克利地外文明搜寻中心的首席科学家。
我们聊得非常深入,后来我才知道他在20世纪70年代的时候,还曾经在我们北师大工作过一年。这张照片就是他当时在北师大工作的时候,向北师大的计算机专家、天文学家,讲述阿雷西博望远镜向球状星团发射信息的照片。

所以,我们就谈到中国是不是也可以做SETI研究。其实我的一个思路是:我们首先评估一下这件事的可行性。2014年的时候,中国的FAST望远镜还没有完全建成。在此之前,FAST首席科学家南仁东先生,于2011年的时候,在国际物理杂志发表的文章里,已经谈到了FAST将来可以做SETI。这后来就成为FAST的五大科学目标之一,我也参与推动SETI在中国的研究开展。

▲左:FAST望远镜
中:FAST首席科学家南仁东先生
右:2011年发表于国际物理杂志(International Journal of Modern Physics D)文章
我和国家天文台合作,成立了这样一个联合的研究团队,由北师大牵头,国家天文台以及伯克利组成的三方SETI研究团队,这也是我们国内成立的第一个SETI研究团队。
靠近另一个文明
已完成:50%//////////
下面一个问题就是,我们要寻找什么样的目标?这个很重要,如果你目标选错了的话,那么肯定是找不到的。
首先,第一个目标就是宜居带内的系外行星。我们以太阳系为例,地球就是处在宜居带内的。可以看到,地球离太阳的距离不近不远,它有大气也有磁场,不大不小,引力也非常适合。所以说,这是一个宜居带。

▲目标:宜居带内的系外行星
那么,另外一些目标就是寻找能够看到地球的外星人所居住的系外行星。他们怎么来看我们地球,就相当于我们怎么看他们一样。有一种现象叫“凌日”,比如说外星人用望远镜看我们的地球,掠过太阳的时候,太阳可以进行消光,它的光度就会变弱,所以这种现象叫凌日现象。

▲目标:那些正在看着地球的外星人
目前统计,大概有2000多颗行星上如果有外星人的话,他们就能够看到我们。

另外还有一些目标,就是阿雷西博望远镜。大家知道在2020年的时候,阿雷西博望远镜坍塌了,也就是它现在已经不能工作了。但是丹(Dan)观测了20年,他积攒了很多的、最有可能的一些候选者,就成了我们要继续观测的目标。

▲2025年3月27日,
Dan访问北师大,我们摆好同样的位置和姿势,
重新拍了一张类似当年的照片
可能有些人会问了,外星人的信号长什么样子?我想说的是,其实我们到现在还没有见到过外星人的信号。但是,基于地球文明所掌握的这种射电技术,我们有一些科学的推测。
外星人发射信号可能有两种方式:一种方式是无意发射的。比如说广播电视,以及其他的一些无意把信息泄露到宇宙空间中的途径。另外一类是有意的信号,就是特意让我们地球人知道。
基于有意和无意,信号的类型有可能是窄带信号,也可能是宽带信号,还可能是周期信号。它里面可能夹杂了一些信息,所以这是一个非常复杂的问题。
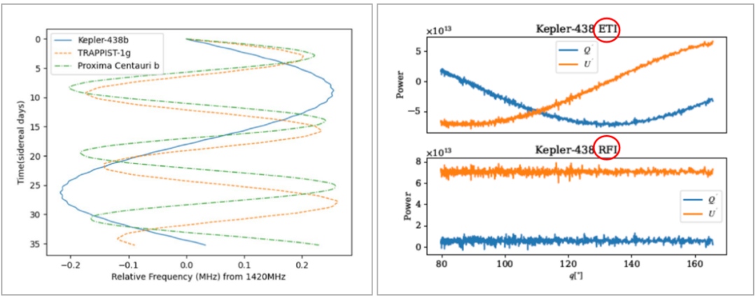
经过我们和国际同行近十几年的研究,我们把对外星人发出的信号等级总结成了5种:第一个等级是探测,第二个等级是事件,第三个等级是候选信号,第四个等级是兴趣信号,第五个等级才是真正外星人的信号。

每一个等级,我们都做了很多的贡献。第一个等级观测是指,给它设定一个信噪比阈值,超过的信号,我们就算它一次观测。这个观测量会很大,因为这些里面可能含着外星人的信号,所以我们就通过一种方式进行搜寻。

这种搜寻方式叫多波束联合匹配策略,我们可以筛掉一些不符合条件的,于是它们就成为第二级别叫事件。到了这时候,其实还有很多信号,它还不是候选信号。这个时候我们就把AI用在了这里面,用AI搜寻筛除了那些射电干扰——包括地球上发射的一些干扰,还有天体的一些信号。我们用人工智能把它筛选掉,就成候选信号了。

我们还发展了一种模式,可以从第一级别直接到第三级别,叫多波束点源扫描策略,非常有效。

从候选信号到兴趣信号,我们还有两个终审判决。“终审判决”这个词不是我们自己取的,是当时的审稿人给我们取的。他十分赞赏我们的文章,说你们这个可以当做“终审判决”。

▲左:终审判决1右:终审判决2
第一种方式是频率漂移判据。我们发现了这个候选信号之后,就在系外行星绕着它的母星一个周期内连续观测,看看它的频率漂移是否符合这样一个理论曲线。
再就是说,我们假定它的偏振就是这个射电干扰的偏振,和外星人信号的偏振是不一样的。射电干扰的两路偏振都是平的,外星人的偏振则会有变化。这是两个判据。我们就可以从第三个到第四个信号。
最后一个就是外星人的信号,这个非常难,需要不同的科学家、不同的国家、不同的望远镜重复观测,但是有的信号有时候就不重复,比如一些随意发射的信号。所以说,这一步非常困难。
因此,国际上在1989年起草了一个协议,叫后探测协议,即怎么来确定这个信号,以及这个信号确定之后,国际上怎么来应对。这个协议是国际上的一个非常重要的协议。

通过前面的介绍,我们这个团队在整个流程中——从信号的筛选、去除、再甄别、最后证论这四个步骤里,都做了非常重要的贡献,形成了一个非常完整的框架。

我们也发现了一些候选信号。大家知道候选信号是第三级,这个第三级,比起第五级是远远不够的。但是媒体或者是公众不太了解级别的程度,其实它仅仅是一个候选信号而已。候选信号到第四级还很困难,到第五级更困难。
所以说,当时我们确实发现一个候选信号,且引起了网上媒体的关注和热搜。我们也特别希望通过讲座向媒体、向不做地外文明研究的这些公众或者是学生,介绍这几个级别,即我们发现的仅仅是候选信号而已。

▲2022年6月,探测到的窄带候选信号
当然也有意外之喜,这个热搜让我招到了很好的学生。其中一个学生,在英国读本科和硕士,但他下定决心回来跟我读博士,现在是我的博士生,也是我们队伍里的骨干。
前面讲的外星人是指通过射电,当然还有其他的方式,光学波段也可以。其他国家的科学家,比如美国已经造了望远镜,也就是光学观测。如果外星人用激光,它所在的母星上的这种光谱会发生一些异常,这样就可以通过光学观测来进行。
我的团队现在也开始了光学研究,分析郭守敬望远镜的一些数据。当然还有其他的一些寻找外星人的方式,比如戴森球(Dyson Sphere),这个是比较科幻的,但是它是物理学家提出来的,所以说它是完全科学的东西,只不过现在没法验证而已。

▲左:位于美国亚利桑那州南部Fred Lawrence Whipple天文台
甚高能辐射成像望远镜阵列系统;
右:郭守敬望远镜
这种方式认为,如果外星人文明级别很高、活的时间足够长的话,就需要很多的能量,需要把所围绕的母星,比如说太阳的能量全都利用起来。所以说,它们建了一个包围其母星的装置。这个装置会引起红外波段的辐射量增加,就可以来判断是否有戴森球。2016年的时候,他们就发现了一些异常。但是,戴森球的可能性还是非常小的。

▲2016年发现一颗
具有异常行星凌星现象的恒星KIC8462852,
但戴森球的可能性极小
当然还有其他的办法,比如最近非常火的“3I/阿特拉斯”。前不久美国NASA国家宇航局已经发布了一些照片,说它大概率就是一颗彗星;还有之前的"奥陌陌",有美国的科学家认为,这有可能是外星技术的一种残骸。所以,哈佛大学教授勒布启动了一个计划,叫“伽利略计划”,就是来搜寻外星技术留下来的残骸。
那么,讲了这么长时间了,到底有没有外星人呢?这个问题,我们问了很多年。在真正进行SETI科学研究之前,也就是20世纪50年代的时候,著名的物理学家费米曾经问过这样的问题:为什么我们找不到外星人?
如果外星人存在的话,那么在我们银河系里面就应该有一代一代的外星人。一代外星人消亡了,另一代外星人出现,然后一直到今天。但是我们并没有看到任何外星人。所以说,这就是费米悖论。

20世纪60年代初,人类开始了地外文明真正的科学研究。之后对于费米悖论有很多的解释,有人说这是一个黑暗森林,里面每一个文明都拿着一把猎枪,见到另外一个文明就会把它杀掉。
这是一个假说,我觉得这个假说可能来自于霍金曾经说过的一句话:外星人几乎肯定存在,但是人类最好避免与他接触。
我的想法和他们不太一样,我认为就像在黑暗的大海里面航行一样,你如果看到远处有一点点星光,看到其他的一些帆船,你会拿着枪把另外一个帆船的人给打死吗?我认为不应该是这样的。外星人和人类应该是互相协作的。
所以,不与外星人接触或者不透露我们的位置等,其实都不是必要的问题。因为我们不知道外星人是友好的,或者是有敌意的。但是,我们如果那样做的话,就假定外星人是100%有敌意的。这种情况下,我们就失去了具有非常高级技术的外星人的帮助。
类似于在黑暗的大海里,我们看到另外一个文明,肯定不会消灭它,而是靠近它,互相帮助、抱团取暖。
宇宙不会永远沉默
已完成:90%//////////
从2014年和美国的科学家丹谈起这个事情,到2020年开始真正的科学研究,再到现在2025年,我们已经开展了六七年的研究。我们发表了很多关于这方面的文章,就像刚才介绍的对整个的搜寻框架做出了非常完美的贡献。
我们也形成了一个计划,叫做“知音计划”。它来自于古代的一个故事,伯牙和子期弹奏高山流水。这个计划包含很多内容,既包含射电SETI,也包含光学SETI。我们希望对外星人发射的信息,不仅仅是能够听到,还要能够听懂。所以说,我们在大力地在推进这个计划,力争在国际上能够有大的突破。
搜寻地外生命,不管是光学还是射电,高级生命还是低级生命,虽然成功的可能性确实很难估计,但是如果我们不去寻找的话,它成功的可能性就是零。
这是康奈尔大学一个天文学家,在1959年nature上发表的一篇文章。这篇文章可以说是SETI研究最具开创性的一篇文章,也是第一篇科学上研究SETI的文章。之后60年,德雷克就开始了他的观测研究。所以说,地外文明的搜寻,从20世纪60年代到今天,已经过去60年了。

所以,我们可以总结一下:中国的科学家才开始了不到十年的研究,但是国际上的科学家已经开展了60年的研究。
随着地球上观测技术的发展,我相信宇宙不会永远沉默下去,在全球SETI科学家的共同努力下,我相信最终一定会找到地外生命,尤其是地外智慧生命,也称为地外文明。我也相信中国的科学家,会从中做出非常重要的贡献。
谢谢大家。
